如何通過改變管道轉彎角度來減少局部水頭損失

 新聞資訊     |      2016-02-29 17:15:30

 管道中水流局部水頭損失問題一直是工程設計所必須要重視的問題,尤其是在長距離輸水管路中,比如城市供水管網中,如果局部水頭損失過大,將影響管網末梢的水壓,影響到用戶的用水效率。如何減少局部水頭損失,是工程設計的重要問題。

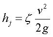
在局部水頭損失的計算公式中,,式中,為局部水頭損失系數,為計算斷面的平均流速大小,為當地的重力加速度。在管徑和輸送水量確定的情況下,管段中水流的流速可以確定,那么,局部水頭損失系數的大小將影響局部水頭損失的大小。在查閱給排水設計手冊時,我們發現,管道轉彎的角度在30-90度逐漸增大時,局部水頭損失系數也逐漸增大。所以從理論上來說,為使局部水頭損失減小,管道轉彎時的角度應盡可能的減小。

在實際的工程設計中,設計人員需考慮工程穩定性、工程投資及工程施工難度等各種因素,所以實際的管道轉彎角度應根據實際情況來定。

(技術部 趙志鵬)